比热测量(PPMS)
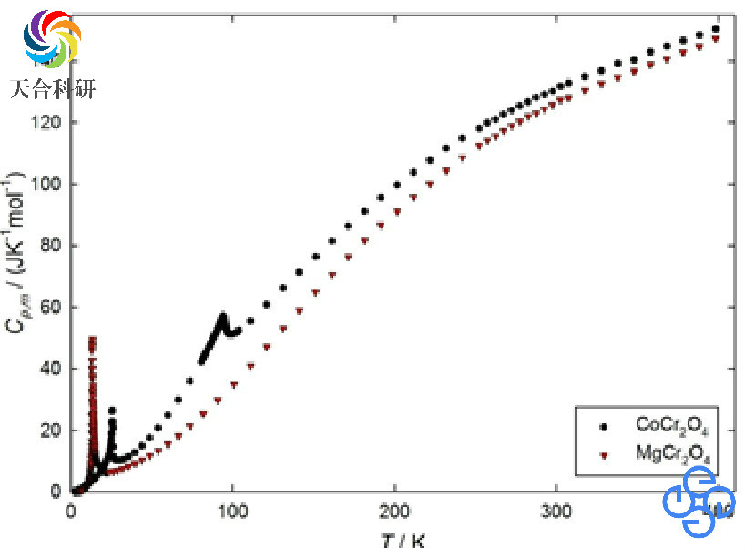
样例



适用领域
1)功能材料低温热力学性质研究,通过比热计算焓、熵、吉布斯自由能等标准热力学函数及绝对熵
2)相变(磁、超导及结构等相变)热力学性质研究,通过比热数据计算相变温度、焓、熵等热力学函数
3)低温物性研究,通过测量20K以下的比热数据,利用比热理论模型可提取比热晶格、电子、磁性等贡献,为揭示材料低温物性变化提供依据
面向学科
功能材料热力学性质研究、低温物性研究
测量准确度
通过测量美国标准局提供的标准样品,确定测量准确度在1.9K至400K温区内为 ±(1-3)%
样品要求
1)有毒易挥发样品请提前告知
2)对其它可能危害仪器的样品必须事先注明,并告知相关防护措施
3)样品需求:粉末样品(10-50)mg;块状或晶体样品尺寸不超过 3x3x3 mm,且最大一面光滑
4)不能被测试的样品种类:具有放射性的样品;真空中会释放大量气体,尤其释放的气体具有腐蚀性的样品;有化学毒性和生物毒性的样品
收费标准
1)150元/小时或2000元/天
2)不足一天按150元/小时收费
仪器信息
仪器名称:综合物性测量系统
仪器型号:PPMS-9




